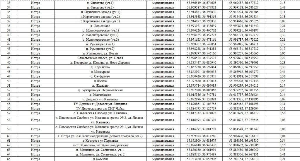
В округе планируют отремонтировать 80 участков дорог
- четверг, 5 мар., 12:46
-
0
-
91
- четверг, 5 мар., 12:46
-
0
-
91
6 участков расположены в Дедовске, столько же — в Истре. Остальные — в других населённых пунктах округа.



Подпишитесь на наш Telegram-канал, чтобы всегда быть на связи!